
全集成式能谱测量系统内部集成了LaBr3(Ce)探测器、信号读出与处理电路、高压与PMT分压电路以及通讯与供电电路。因此在使用时,仅需要连接USB,即可实现对系统的供电和通讯控制。在电脑上,适配了专用能谱仪测量分析软件。
通用能谱仪软件SuperMiniSpe2023V2.3.exe是一款面向实验人员和研发人员设计的多参数设置与多功能分析的测量分析软件。该软件中,可设置不同的信号成型参数、高压参数以及能谱测量参数。能够精准测量不同条件下的能谱并对其进行分析。

注意:
1.本产品为精密电子仪器,必须经由培训过的专业人士运行和维护。
2.本产品含有高压器件,一定要谨慎操作,防止触电。
表格 2 全集成式能谱测量系统 常规参数
序号 | 功能与性能 | 描述 |
1 | 电源接口 | USB2.0/5V |
2 | 通讯接口 | USB2.0/RS232 |
3 | 适配探测器 | LaBr3(Ce) Φ1×1英寸 |
5 | 高压输出 | 0~1000 V |
6 | 外壳 | 铝合金 |
7 | 尺寸重量 | (Φ56 mm×250 mm)/0.9 kg |
8 | 组成 | 内部集成LaBr3(Ce)探测器、信号读出于处理电路、高压与PMT分压电路和通讯电路。 |
表格 3 全集成式能谱仪 技术指标
序号 | 功能与性能 | 描述 |
1 | 增益调节范围 | 0.5~2 |
2 | 最高脉冲输入频率 | >500 Kcps |
4 | 功耗 | <850 mW |
4 | 工作温度 | -10 ℃~40 ℃ |
5 | 能量分辨率 | ≤3.5% @662 keV |
6 | 能量范围 | 30 keV~3 MeV |
7 | 稳谱与峰飘 | 支持天然40K特征峰稳谱,在-10℃~40℃范围内峰漂小于0.5% |
提醒:全集成式能谱仪必须配合单片机/计算机上的(嵌入式)软件才能正常工作,您必须同时配备单片机电路或者计算机才能使仪器正常工作。
连接探测器对应线缆:高压、低压线缆、信号线以及USB数据线。
打开电源面板,前面板的电源指示灯亮起。
初次使用时,请在计算机中安装CP210x Universal Windows Driver 驱动。安装成功后,打开计算机软件MiniSpe2023V2.3.exe,显示连接成功,表明系统能够正常工作。

图 2-1 软件正常运行底部显示“通讯正常!”
版本1.0
日期:2023年8月5日
MiniSpe2023V2.3.exe在线测量步骤如下:
双击打开软件,进入主窗口界面,如下图所示。

图 3-1 主界面窗口
鼠标点击控制窗口硬件,显示窗口用于显示能谱仪测量的实时数据。
设置高压:控制窗口的高压预设值方框输入合适的高压数值,点击打开按钮,高压设置成功。注:不同的探测器所需的工作高压不尽相同,请事先查阅探测器说明书,避免高压设置过高损坏探测器。
设置阈值:阈值预设置方框输入合适的阈值,点击设置,阈值设置成功。
多道参数设置:点击控制窗口预置按钮,或者点击设置菜单-设置-多道设置,出现如图2对话框,设置多道参数。预置测量时间以秒为单位,范围为1至16777215秒,多道增益可选1024、2048、4096、8192。放大倍数可选×1,×2,×4,×8。点确定,本次设置有效;点取消,本次设置无效,原来设置不变。

图 3-2 多道参数设置
开始测量:点击控制窗口测量,或者点击工具栏测量按钮,开始能谱测量,显示窗口实时显示测量数据。点击停止按钮,停止测量。点击清除按钮,清除本次测量数据。控制窗口中的“扩展”、“压缩”用于改变当前窗口水平显示道数。“↑”、“↓”改变当前窗口垂直方向的计数量程,“↑”减少计数量程,谱图形向上;“↓”增加计数量程,谱图形向下。“LOG”将垂直量程转换为对数显示(也可按键盘“L”)。在对数显示情况下,按“↑”、“↓”键转换为线性显示。
测量完成,分析谱数据。鼠标移动到能谱的任意位置,界面下方将会显示光标所在位置的道址,计数,能量(能量刻度之后才有意义)。若想分析某一能峰,点击菜单设置-加亮区设置,出现如图3所示对话框。输入想要分析的能峰左边界道址和右边界道址,点击设置,能峰即加亮。左键双击加亮区,加亮区信息即显示,如图4。

图 3-3 加量区设置与显示
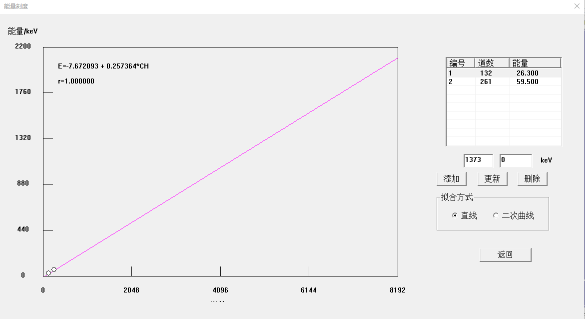
能量刻度。点击菜单的设置-能量刻度,出现如图5所示对话框,设置能量刻度数据。
多道道数可用鼠标左键单击窗口内对应道数、键盘“←”、“→”左右移动光标,或在能量刻度窗口道数对应的输入框内输入道数值;对应能量在能量刻度窗口的能量输入框内输入(单位为 keV) ,鼠标按添加即将这组数据输入到能量刻度数据列表窗口中。鼠标在列表窗口内选中某组能量刻度数据,该组数据即显示在下面的输入框中,此时可修改输入框中的数据,修改结束后按“更新”按钮即将输入框中的数据更新到列表框中。鼠标在列表窗口内选中某组能量刻度数据,按“删除”按钮,即在列表框中删除该组数据。

图 3-4 能量刻度
保存文件。点击设置菜单的文件-保存,或者点击工具栏保存按钮,将当前活动窗口的能谱数据保存到硬盘,文件扩展名有.chn与.txt两种,加亮区信息和能量刻度信息同时保存到文件中。
能谱测量基础
能谱仪是显示射线强度随能量变化的测量仪器。不同测量对象、不同类型的能谱仪所测得的能谱形状不尽相同。例如,下面显示了MiniSpe2023V2.3.exe 软件上NaI(Tl)数字化能谱仪测量Cs-137放射源的能谱图

图 4-1 能谱测量界面
在进行能量刻度之后,能谱图的横坐标代表能量,其单位一般是“keV”;能谱图的纵坐标代表计数,其单位一般是“个”。同时,在能谱图的下方可以看到测量和计算参数,这方便于我们的统计分析。通过分析能谱图的形状,测量时间以及峰位等特征,可以帮助我们了解能谱仪所测量对象的放射性特征。
新一代数字化能谱仪
新一代数字化能谱仪是一台测量放射性的仪器。与传统模块电子学搭建的谱仪相比,新一代数字化能谱仪具有通用、灵巧以及完全软件化的特点。硬件搭建成功之后,所有操作在计算机的软件MiniSpe2023V2.3.exe 上即可完成。在不同的实验中,可能会配置不同的探测器。在新一代数字化能谱仪中,您只需要重新选择MiniSpe2023V2.3.exe 的配置文件即可完成软件匹配。
主要功能性能
名称 | 主要性能参数 |
测量控制 | 开始/停止/暂停/清除 |
高压设置 | 0~+1000V |
阈值设置 | 0~ 5V |
显示控制 | 横轴放大/缩小;纵轴放大/缩小;对数/线性坐标 |
探测器配置 | 可适配不同探测器 |
多道道数设置 | 1024/2048/4096/8192 |
放大倍数 | 1/8;1/4;1/2;1 |
能量刻度 | 手动输入峰位及能量,进行刻度 |
加亮区设置 | 设置左右边界 |
加亮区显示 | 显示能量分辨率以及中心道址 |
测量显示 | 光标、能量、计数、加亮区总计数、加亮区净计数、活时间、死时间 |
文件保存 | 二进制文件或txt文件 |
地址:中国.四川省成都市高新区天府五街200号3号楼B区801
电话:+86 028-84494087 传真:+86 028-84494087
办公时间:周一至周五,09:00 至 17:00
联系人:张先生 15928057586
E-mail:jinglong_scu@foxmail.com
E-mail:sales@cdyeyun.com